Quantum Mechanics with a Hidden Variable!

Foundations of physics and/or philosophy of physics, and in particular, posts on unresolved or controversial issues

Re: Quantum Mechanics with a Hidden Variable!

Postby FrediFizzx » Tue Jun 11, 2019 11:32 am

Heinera wrote:
FrediFizzx wrote:Hi Folks,

Just so lurkers don't get confused by Heine's nonsense, Bell only said that A(a, lambda) = +/- 1 and B(b, lambda) = +/- 1. That means for a binary valued HV,

A(a, +1) = +/- 1 and B(b, +1) = +/- 1
A(a, -1) = +/- 1 and B(b, -1) = +/- 1

So you are going to still get all 4 outcome possibilities, + +, - -, + -, and - +. What Bell specified has nothing to do with the 4 outcome possibilities. The outcomes also depend on a and b not just lambda.
.

I specified that for a fixed pair of detector settings, you can only get two combinations of outcomes with a binary HV. For different settings, the two combinations can of course also be different. But this anyway contradicts the QM predictions, where you will observe all four possible combinations for almost any fixed pair of detector settings. (Exceptions are exactly opposite settings, or equal settings.)

It's as simple as this: When you flip a coin, there are only two possible outcomes. Not four.

Sorry, even holding the detector settings fixed does not work. If lambda = + 1 and say on the first run you get +1 for the outcome. On the second run even keeping the detector at the same setting you could get a -1 for the outcome with lambda still +1. So please stop posting nonsense about this. The following holds true.

A(a, +1) = +/- 1 and B(b, +1) = +/- 1
A(a, -1) = +/- 1 and B(b, -1) = +/- 1

All four outcome possibilities happen even with a binary HV.
.
FrediFizzx
Independent Physics Researcher
 
Posts: 2905
Joined: Tue Mar 19, 2013 7:12 pm
Location: N. California, USA

Re: Quantum Mechanics with a Hidden Variable!

Postby Heinera » Tue Jun 11, 2019 11:36 am

FrediFizzx wrote:Sorry, even holding the detector settings fixed does not work. If lambda = + 1 and say on the first run you get +1 for the outcome. On the second run even keeping the detector at the same setting you could get a -1 for the outcome with lambda still +1.
.

No, you can't. Please write me a function or with this miraculous property.

Among the properties of a mathematical function is this: The same inputs should produce the same output.
Heinera
 
Posts: 917
Joined: Thu Feb 06, 2014 1:50 am

Re: Quantum Mechanics with a Hidden Variable!

Postby Mikko » Tue Jun 11, 2019 11:55 am

Heinera wrote:The reason Bell called his variable "hidden," I guess, is that if it were in fact observable, QM would be obviously incomplete and his whole paper would be moot. But for his argument (Bell's theorem), the observability (or not) of the variable is irrelevant. What is relevant is that the variable can not be prepared with a definite value, so we should rather call it "uncontrollable" instead of "unobservable".

Even the controllability is irrelevant. Bell's (1964) argument is about theories that predict the same as quantum mechanics. Those theories do not predict observability or controllability of variables for which quantum mechanics doesn't. Whether such variables could be observed or controlled in real life is irrelevant.
Mikko
 
Posts: 163
Joined: Mon Feb 17, 2014 2:53 am

Re: Quantum Mechanics with a Hidden Variable!

Postby Heinera » Tue Jun 11, 2019 12:06 pm

Mikko wrote:Even the controllability is irrelevant. Bell's (1964) argument is about theories that predict the same as quantum mechanics. Those theories do not predict observability or controllability of variables for which quantum mechanics doesn't. Whether such variables could be observed or controlled in real life is irrelevant.

Yes, I agree.
Last edited by Heinera on Tue Jun 11, 2019 12:14 pm, edited 1 time in total.
Heinera
 
Posts: 917
Joined: Thu Feb 06, 2014 1:50 am

Re: Quantum Mechanics with a Hidden Variable!

Postby FrediFizzx » Tue Jun 11, 2019 12:10 pm

Heinera wrote:
FrediFizzx wrote:Sorry, even holding the detector settings fixed does not work. If lambda = + 1 and say on the first run you get +1 for the outcome. On the second run even keeping the detector at the same setting you could get a -1 for the outcome with lambda still +1.
.

No, you can't. Please write me a function or with this miraculous property.

Among the properties of a mathematical function is this: The same inputs should produce the same output.

Not necessarily. No functions are needed because there is 50-50 chance the spin 1/2 particle will be up or down even with holding the detector and lambda fixed. Think about the actual physics. Please! Lambda does not have to determine whether or not you will get a spin up or spin down detection. And it certainly doesn't in the case of the paper that this thread is about. This is QM which is about real probabilities for real physical events.
FrediFizzx
Independent Physics Researcher
 
Posts: 2905
Joined: Tue Mar 19, 2013 7:12 pm
Location: N. California, USA

Re: Quantum Mechanics with a Hidden Variable!

Postby Heinera » Tue Jun 11, 2019 12:18 pm

FrediFizzx wrote: No functions are needed[...]

Are we still talking about Bell's theorem here, where he introduces the functions and ?
Heinera
 
Posts: 917
Joined: Thu Feb 06, 2014 1:50 am

Re: Quantum Mechanics with a Hidden Variable!

Postby FrediFizzx » Tue Jun 11, 2019 4:03 pm

Heinera wrote:
FrediFizzx wrote: No functions are needed[...]

Are we still talking about Bell's theorem here, where he introduces the functions and ?

??? I already have shown you Bell's functions. You seem to be making up stuff more than what Bell ever specified. He never specified what you are describing.
.
FrediFizzx
Independent Physics Researcher
 
Posts: 2905
Joined: Tue Mar 19, 2013 7:12 pm
Location: N. California, USA

Re: Quantum Mechanics with a Hidden Variable!

Postby FrediFizzx » Tue Jun 11, 2019 4:34 pm

Heinera wrote:
FrediFizzx wrote: No functions are needed[...]

Are we still talking about Bell's theorem here, where he introduces the functions and ?

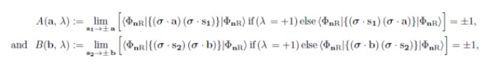
Anyways, here are some functions for you.

Image

Of course with those limits, <Phi_nR|...|Phi_nR> = +/- 1 so it doesn't matter if lambda is plus or minus 1.

Might be hard to read those limits so,


.
FrediFizzx
Independent Physics Researcher
 
Posts: 2905
Joined: Tue Mar 19, 2013 7:12 pm
Location: N. California, USA

Re: Quantum Mechanics with a Hidden Variable!

Postby Heinera » Wed Jun 12, 2019 4:24 am

FrediFizzx wrote:[
Anyways, here are some functions for you.

Image

Of course with those limits, <Phi_nR|...|Phi_nR> = +/- 1 so it doesn't matter if lambda is plus or minus 1.

Might be hard to read those limits so,


.

So your "function" just gives random outputs for the same values of a and ? Then it's of course not a function in the mathematical sense. If not, what, besides a and , determines whether the output should be +1 or -1 for a given particle?
Heinera
 
Posts: 917
Joined: Thu Feb 06, 2014 1:50 am

Re: Quantum Mechanics with a Hidden Variable!

Postby FrediFizzx » Wed Jun 12, 2019 11:14 am

Where does Bell say what you are describing? He only said the A and B functions are equal to +/- 1.
FrediFizzx
Independent Physics Researcher
 
Posts: 2905
Joined: Tue Mar 19, 2013 7:12 pm
Location: N. California, USA

Re: Quantum Mechanics with a Hidden Variable!

Postby Heinera » Wed Jun 12, 2019 12:14 pm

FrediFizzx wrote:Where does Bell say what you are describing? He only said the A and B functions are equal to +/- 1.


"The result of measuring is then determined by and , and the result B of measuring in the same instance is determined by and "

"Determined" means just that. Not random. And you also see it in section III of his 1964 paper, where the examples he uses always give the same outcomes for the same setting and .

That he writes the functions can be +/- 1 simply means that this is their range, they can take on one of those two values, but obviously not both for the same arguments as input.
Heinera
 
Posts: 917
Joined: Thu Feb 06, 2014 1:50 am

Re: Quantum Mechanics with a Hidden Variable!

Postby FrediFizzx » Wed Jun 12, 2019 12:37 pm

Heinera wrote:
FrediFizzx wrote:Where does Bell say what you are describing? He only said the A and B functions are equal to +/- 1.


"The result of measuring is then determined by and , and the result B of measuring in the same instance is determined by and "

"Determined" means just that. Not random.

That he writes the functions can be +/- 1 simply means that this is their range, they can take on one of those two values, but obviously not both for the same arguments as input.

Sorry, but that is more nonsense. In the functions I presented the results are determined exactly like Bell said.

If lambda = + 1 and the limit s_1 --> +a then A(a, lambda) = -1
If lambda = + 1 and the limit s_1 --> -a then A(a, lambda) = +1
If lambda = - 1 and the limit s_1 --> +a then A(a, lambda) = -1
If lambda = - 1 and the limit s_1 --> -a then A(a, lambda) = +1

The same applies for B(b, lambda). Plus this is QM which is all about probability factors. And you can't get around the fact that if you hold the detection polarizer at a fixed angle, you will get spin up or spin down 50-50. That means that the spin s_1 or s_2 will be +a or +b if spin up and -a or -b if spin down when holding the polarizers at +a or +b. That is what QM predicts and that is what we predict.
.
FrediFizzx
Independent Physics Researcher
 
Posts: 2905
Joined: Tue Mar 19, 2013 7:12 pm
Location: N. California, USA

Re: Quantum Mechanics with a Hidden Variable!

Postby Heinera » Wed Jun 12, 2019 1:24 pm

There are no s_1 or s_2 in your paper.

There can of course be randomness even in a HV model, but it should be in the production of the hidden variable. If there is other randomness in your model than the binary , it should be made explicit (and incorporated into the HV).
Heinera
 
Posts: 917
Joined: Thu Feb 06, 2014 1:50 am

Re: Quantum Mechanics with a Hidden Variable!

Postby FrediFizzx » Wed Jun 12, 2019 1:58 pm

Heinera wrote:There are no s_1 or s_2 in your paper.

There can of course be randomness even in a HV model, but it should be in the production of the hidden variable. If there is other randomness in your model than the binary , it should be made explicit (and incorporated into the HV).

More nonsense. We were talking about the functions for A and B in which there is s_1 or s_2. The paper has not yet shown if QM is local. It only shows that Joy's hidden variable does in fact work when implemented into QM to obtain the EPR-Bohm correlation.

Where is the rule that other randomness has to also be incorporated into the HV? There is no such rule. It is more nonsense from you.
.
FrediFizzx
Independent Physics Researcher
 
Posts: 2905
Joined: Tue Mar 19, 2013 7:12 pm
Location: N. California, USA

Re: Quantum Mechanics with a Hidden Variable!

Postby Heinera » Wed Jun 12, 2019 2:11 pm

FrediFizzx wrote:
Heinera wrote:There are no s_1 or s_2 in your paper.

There can of course be randomness even in a HV model, but it should be in the production of the hidden variable. If there is other randomness in your model than the binary , it should be made explicit (and incorporated into the HV).

More nonsense. We were talking about the function for A and B in which there is s_1 or s_2. The paper has not yet shown if QM is local. It only shows that Joy's hidden variable does in fact work when implemented into QM to obtain the EPR-Bohm correlation.

Where is the rule that other randomness has to also be incorporated into the HV? There is no such rule. It is more nonsense from you.
.


Because it gives rise to confusion. The outcome should be determined by the detector angle and the hidden variable, nothing else goes into the functions A and B.

The point with such a hidden variable in the sense of Bell is that it automatically ensures counterfactual definiteness, which is the actual property of the model that is necessary for Bell's argument. If your model is not counterfactually definite, it is not a HV model in the sense of Bell.
Heinera
 
Posts: 917
Joined: Thu Feb 06, 2014 1:50 am

Re: Quantum Mechanics with a Hidden Variable!

Postby FrediFizzx » Wed Jun 12, 2019 2:28 pm

Ah, so you think QM should be a deterministic model if it has a HV? Pure rubbish! I'm sure that Bell knew better than that.

And actually a classical model with an HV doesn't have to be deterministic either.
FrediFizzx
Independent Physics Researcher
 
Posts: 2905
Joined: Tue Mar 19, 2013 7:12 pm
Location: N. California, USA

Re: Quantum Mechanics with a Hidden Variable!

Postby Heinera » Wed Jun 12, 2019 3:14 pm

FrediFizzx wrote:Ah, so you think QM should be a deterministic model if it has a HV?


No, I don't think that. As I said, the HV could contain random elements. But the model must be counterfactually definite (which QM, in it's standard formulation, isn't).

But even if someone wanted to introduce local randomness into the definition of the functions and , independent of the hidden variable, Bell's theorem would still hold. The randomness would only add local noise to the results, serving to decrease the correlations, not increase them. If Alice and Bob each sit in their respective corners and flip coins, the correlation of their results would be zero.
Heinera
 
Posts: 917
Joined: Thu Feb 06, 2014 1:50 am

Re: Quantum Mechanics with a Hidden Variable!

Postby Joy Christian » Wed Jun 12, 2019 4:38 pm

Heinera wrote:
... Bell's theorem would still hold ...

Don't listen to this guy, Fred. He is evidently an unflinching Bell-believer who thinks that there is such a thing as Bell's theorem. But we know better.

***
Joy Christian
Research Physicist
 
Posts: 2793
Joined: Wed Feb 05, 2014 4:49 am
Location: Oxford, United Kingdom

Re: Quantum Mechanics with a Hidden Variable!

Postby FrediFizzx » Wed Jun 12, 2019 5:12 pm

Joy Christian wrote:
Heinera wrote:
... Bell's theorem would still hold ...

Don't listen to this guy, Fred. He is evidently an unflinching Bell-believer who thinks that there is such a thing as Bell's theorem. But we know better.

***

Yeah, I know. He also must think it should be possible to get around the fact that at each detector spin up or spin down is 50-50. It's not possible. The correlation is simply because the two spin 1/2 particles are from a singlet with zero spin. That is really all there is to it.
.
FrediFizzx
Independent Physics Researcher
 
Posts: 2905
Joined: Tue Mar 19, 2013 7:12 pm
Location: N. California, USA

Re: Quantum Mechanics with a Hidden Variable!

Postby Heinera » Wed Jun 12, 2019 5:32 pm

FrediFizzx wrote:Yeah, I know. He also must think it should be possible to get around the fact that at each detector spin up or spin down is 50-50. It's not possible. The correlation is simply because the two spin 1/2 particles are from a singlet with zero spin. That is really all there is to it.
.

In Quantum Mechanics, that is really all there is to it. For local realists, it is a quagmire, since the same assumption in that setting only produces the triangle correlation.
Heinera
 
Posts: 917
Joined: Thu Feb 06, 2014 1:50 am

PreviousNext

Return to Sci.Physics.Foundations

Who is online

Users browsing this forum: No registered users and 103 guests

CodeCogs - An Open Source Scientific Library